MyAptitude.in
Home
Courses
Ebooks
Questions
Contact
Login
Home
Courses
Ebooks
Questions
Contact
Login
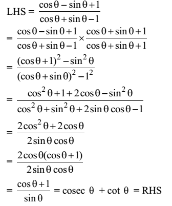
Prove that Trigonometry Relation #01
Trigonometry (C10)
Prove that
Answer
Home
Maths C10
Prove that Trigonometry Relation #01